Выбор по типу редуктора для привода

Профессиональный расчет с целью выбора редуктора всегда начинается с проработки схемы привода (кинематической). Именно она лежит в основе соответствия выбранного оборудования условиях будущей эксплуатации. Согласно данной схеме, вы можете выбрать класс мотор-редуктора. Варианты следующие.
- Червячный механизм: одноступенчатая передача, входной вал под прямым углом к выходному валу (скрещенное положение входного вала и выходного вала);
- двухступенчатый механизм с расположением входного вала параллельно или перпендикулярно выходному валу (оси могут располагаться вертикально/горизонтально).
Цилиндрический мотор-редуктор:
- с параллельным положением входного вала и выходного вала и горизонтальным размещением осей (выходной вал с органом на входе находятся в одной плоскости);
с размещением осей входного вала и выходного в одной плоскости, но соосно (расположены под любым углом).
Конически-цилиндрический. В нем ось входного вала пересекается с осью выходного вала под углом 90 градусов.
Ключевое значение при выборе мотор-редуктора имеет положение выходного вала. При комплексном подходе к подбору устройства следует учитывать следующее:
- Цилиндрический и конический моторный редуктор, имея аналогичные червячному приводу вес и размеры, демонстрирует более высокий КПД.
- Передаваемая цилиндрическим редуктором нагрузка в 1,5–2 раза выше, чем у червячного аналога.
- Использование конической и цилиндрической передачи возможно только при размещении по горизонтали.
Передаточное отношение и число зубьев зубчатой передачи

По своей схеме зубчатая
передача подобна фрикционной –
см.рис.11.1. Только здесь жесткое колесо
имеет внутренние, а гибкое – наружные
зубья (рис.11.7).
Рис.11.7
Гибкое
колесо деформируют так, что в точках В
между вершинами зубьев образуется
радиальный зазор, а в точках А зубья
зацепляются на полную рабочую высоту,
в точках Е зацепление промежуточное.
Ясно, что для зацепления необходимо
равенство модулей зубьев обоих колес.
Передаточное
отношение –
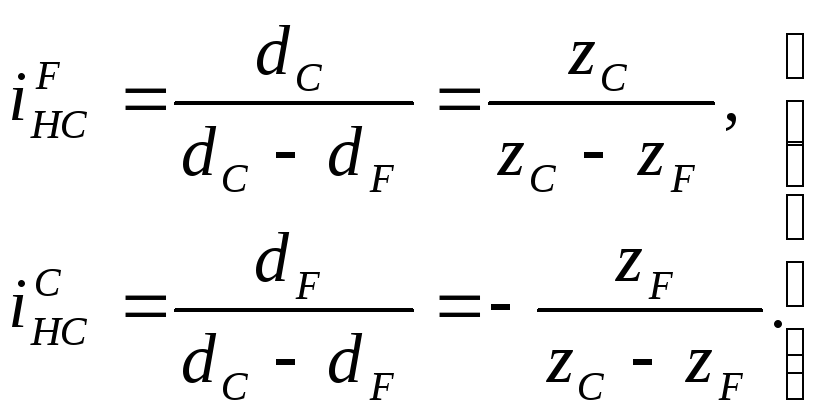
положим, что в формулах (11.10) и (11.11) dF
и dC
– диаметры делительных окружностей
(11.16)
При этом
(11.17)
Число
зубьев – на
рис.11.7 изображены различные фазы
зацепления зубьев. Здесь прямолинейный
профиль принят условно, в целях простоты
рассуждений. При вращении генератора
осуществляется относительный поворот
колес F
и С, при котором зубья колеса F
должны переходить из одной впадины
колеса в другую. Для этого и необходимо
расцепление зубьев в точке В. За четверть
оборота генератора зубья переходят из
положения В в положение А. В окружном
направлении они смещаются на полшага.
При неподвижном колесе С на полшага
поворачивается колесо F.
За полный оборот генератора – на два
шага. Это может быть, если разность zC
– zF
= 2 или равна числу волн генератора u.
В общем случае
zC
– zF
= Кzu (11.18)
где
Кz
= 1, 2, 3, …
Обычно
Кz
= 1, а u
= 2 и тогда
(11.19)
Зубья,
на которые набегает генератор (верхняя
правая и нижняя левая четверти окружности
– рис.11.7), входят в зацеплении. Зубья,
от которых убегает генератор (верхняя
левая и нижняя правая четверти окружности),
выходят из зацепления. При входе в
зацепление зубья (Е) совершают рабочий
ход и соприкасаются одними сторонами,
при выходе (Е’) – холостой ход и
соприкасаются другими сторонами.
Рассмотренная
схема движения зубьев позволяет понять,
что волновая передача может обеспечить
одновременное зацепление большого
числа зубьев. Теоретически дуга зацепления
может распространяться от В до А и от
В’ до А’. Или число зубьев в одновременном
зацеплении составляет 50% от zF
или zC.
Например, при
=
100,zF
= 200 или 100 зубьев в одновременном
зацеплении вместо 1
2 в простых передачах. Это одно из основных
преимуществ волновых зубчатых передач.
Оно обеспечивает им высокую нагрузочную
способность при малых габаритах.
Практически число
одновременно зацепляющихся зубьев или
размер дуги зацепления зависит от формы
и величины деформирования гибкого
колеса, от формы профиля зубьев и пр.
(см. ниже).
Устройство и основные требования к главной передаче
Устройство рассматриваемого механизма простое: главная передача состоит из двух шестерен (зубчатый редуктор). Ведущая шестерня имеет меньший размер, при этом она имеет связь с вторичным валом коробки передач. Ведомая шестерня больше ведущей, а связана она с дифференциалом и, соответственно, с колесами машины.
Схема главной передачи ведущего моста автомобиля: 1 – ведущие колеса; 2 – полуось; 3 – ведомая шестерня; 4 -ведущий вал; 5 -ведущая шестерня
Рассмотрим основные требования, предъявляемые к главной передаче:
- минимальный уровень шума и вибраций при работе;
- минимальный расход топлива;
- высокий КПД;
- обеспечение высоких тягово-динамических характеристик;
- технологичность;
- минимальные габаритные размеры (чтобы увеличить клиренс и не повышать уровень пола в автомобиле);
- минимальная масса;
- высокая надежность;
- минимальная необходимость в обслуживании.
Увеличить КПД главной передачи можно повысив качество изготовления зубьев обоих шестерен, а также увеличив жесткость деталей и применив в конструкции подшипники качения. Отметим, что максимально сокращать вибрации и шум при работе чаще всего требуется для зубчатых редукторов легковых автомобилей. Вибрации и шум можно минимизировать, обеспечив надежное смазывание зубьев, повысив точность зацепления зубчатых колес, увеличив диаметр валов, а также прочими мерами, которые повышают жесткость элементов механизма.
По числу пар зацеплений
- Одинарная – имеет в составе только одну пару шестерен: ведомую и ведущую.
- Двойная – имеет в составе две пары зубчатых колес. Делится на двойную центральную или двойную разнесенную. Двойная центральная располагается только в ведущем мосту, а двойная разнесенная еще и в ступице ведущих колес. Применяется на грузовом транспорте, так как на нем требуется повышенное передаточное число.

Одинарная и двойная главная передача
По виду зубчатого соединения
- Цилиндрическая. Применяется на машинах с передним приводом, в которых двигатель и коробка переключения передач имеют поперечное расположение. В этом типе соединения применяются шестерни с шевронными и косыми зубьями.
- Коническая. Используется на тех заднеприводных машинах, в которых не важны размеры механизмов и нет ограничений на уровень шума.
- Гипоидная – самый популярный вид зубчатого соединения для автомобилей с задним приводом.
- Червячная -в конструкции трансмиссии автомобилей практически не применяется.

Цилиндрическая главная передача
По компоновке
- Размещенные в коробке передач либо в силовом агрегате. На переднеприводных автомобилях главная передача расположена непосредственно в корпусе КПП.
- Размещенные отдельно от КПП. В машинах с задним приводом главная пара шестерен располагается в картере ведущего моста вместе с дифференциалом.
Отметим, что в полноприводных автомобилях расположение главной пары зубчатых колес зависит от разновидности привода.

Коническая главная передача
Применение понижающей передачи и блокировки дифференциала
Итак, как мы уже поняли, понижающая – дополнительная передача, уменьшающая число оборотов колес при постоянных оборотах двигателя. Обычно она устанавливается в раздаточную коробку. Наличие ее делает внедорожник дороже, тяжелее и сложнее. Но на автомобилях экономкласса ее устанавливают не всегда, вместо этого подключение вала отбора мощности на редуктор заднего моста происходит в коробке передач, в картере понижающей передачи. В последнее время рамных внедорожников становится все меньше, а кроссоверы сближаются с городскими автомобилями. Эти автомобили зачастую лишаются и понижающих передач. Сейчас наметилась такая тенденция, что в приоритете – наличие комфортных условий в автомобиле, нежели его внедорожные качества. Большинство производителей переходят на несущий кузов, а рамная конструкция остается в прошлом. Настоящими джипами все же являются те внедорожники, которые имеют понижающую передачу и блокировку дифференциала, благодаря чему им не страшны никакие препятствия.
Блокировка дифференциала необходима для повышения проходимости. Сам дифференциал подразделяется на межколесный и межосевой. Раньше автомобили не имели таких технологий, поэтому их отсутствие негативным образом сказывалось на сохранности элементов в конструкции. Межколесный дифференциал позволяет колесам вращаться с разной скоростью, это необходимо, например, если автомобиль совершает поворот. Но его наличие может привести к тому, что при буксовке мощь мотора станет уходить только на то колесо, которое застряло, другое же будет неподвижным. При блокировке дифференциала энергия двигателя будет распределяться между колесами уже поровну, и таким образом автомобиль сможет преодолеть препятствие.
Межосевой дифференциал похож по принципу своего действия: он позволяет передней и задней оси двигаться с разной скоростью и по разным траекториям. Но в некоторых ситуациях это может существенно осложнить управление: если забуксовали передние колеса, задние будут бездействовать. Блокировка межосевого дифференциала может с успехом решить эту проблему. Внедорожники, известные своей великолепной проходимостью, как правило, оснащаются тремя блокировками: заднего, переднего и межосевого дифференциала.

Двойные главные передачи
Эти передачи применяются
на грузовых автомобилях средней и большой грузоподъемности, на полноприводных трехосных автомобилях и автобусах для увеличения передаточного числа трансмиссии, чтобы обеспечить передачу большого крутящего момента. КПД двойных главных передач находится в пределах0,93…0,96 .
Двойные главные передачи имеют две зубчатые пары
и обычно состоят из пары конических шестерен со спиральными зубьями и пары цилиндрических шестерен с прямыми или косыми зубьями. Наличие цилиндрической пары шестерен позволяет не только увеличить передаточное число главной передачи, но и повысить прочность и долговечность конической пары шестерен.
В центральной главной передаче
(рисунок 2, г) коническая и цилиндрическая пары шестерен размещены в одном картере в центре ведущего моста. Крутящий момент от конической пары через дифференциал подводится к ведущим колесам автомобиля.
В разнесенной главной передаче
(рисунок 2, д) коническая пара шестерен 5 находится в картере в центре ведущего моста, а цилиндрические шестерни 6 — в колесных редукторах. При этом цилиндрические шестерни соединяются полуосями 7 через дифференциал с конической парой шестерен. Крутящий момент от конической пары через дифференциал и полуоси 7 подводится к колесным редукторам.
Широкое применение в разнесенных главных передачах
получилиоднорядные планетарные колесные редукторы . Такой редуктор состоит из прямозубых шестерен —солнечной 8,коронной 11 и трехсателлитов 9. Солнечная шестерня приводится во вращение через полуось 7 и находится в зацеплении с тремя сателлитами, свободно установленными на осях 10, жестко связанных с балкой моста. Сателлиты входят в зацепление с коронной шестерней 11, прикрепленной к ступице колеса. Крутящий момент от центральной конической пары шестерен 5 к ступицам ведущим колес передается через дифференциал полуоси 7, солнечные шестерни 8, сателлиты 9 и коронные шестерни 11.
При разделении главной передачи
на две части уменьшаются нагрузки на полуоси и детали дифференциала, а также уменьшаются размеры картера и средней части ведущего моста. В результате увеличивается дорожный просвет и тем самым повышается проходимость автомобиля. Однако разнесенная главная передача более сложна, имеет большую металлоемкость, дорогостояща и трудоемка в обслуживании.
Изменение передаточного отношения КПП: тюнинг коробки передач
Как известно, наилучшие динамические показатели достигаются в диапазоне оборотов максимального крутящего момента, а не мощности. Фактически, при нижнем и верхнем значении частоты вращения коленчатого вала крутящий момент двигателя меньше максимального.
Получается, чем больше обороты будут отличаться от оборотов максимального крутящего момента, тем медленнее разгоняется автомобиль. В стандартных КПП передаточное отношение каждой ступени подобрано так, чтобы водителю было комфортно разгонять машину на низких передачах, после чего на повышенных можно поддерживать набранную скорость одновременно с экономией топлива.
На практике, мотор в этом случае быстро выходит на максимальные обороты на более низкой передаче, однако после переключения на ступень выше обороты не падают, например, 3500 об/мин. на 1800, а остаются на отметке около 2500. Фактически, после переключения «вверх» обороты все равно остаются в диапазоне максимального крутящего момента.
Для решения такой задачи можно использовать колеса с меньшим радиусом, а также требуется установить другую главную пару редуктора с измененным передаточным числом (например, 3.9 или 4.1 вместо 3.7). Начнем с использования «стоковых» деталей.
Как правило, если модель автомобиля выпускается с разными двигателями (например, моторы 1.2, 1.4 и 1.6 литра), тогда главную пару для КПП в паре с 1.6 литровым двигателем используют от той версии, мотор которой менее мощный (в данном случае двигатель 1.2 или 1.4).
На высоких скоростях двигатель будет на 5-й раскручиваться до максимальных оборотов, что может доставлять дискомфорт водителю и пассажирам. По этой причине ряд передаточных чисел КПП нужно подбирать с учетом конкретных задач и целей, учитывая мощность мотора, вес автомобиля, а также предпочтения водителя.
Если делать более серьезные доработки, тогда можно собрать коробку передач с измененным набором шестерен. Естественно, это дорого, однако удается сблизить ряды на всех передачах, а не только 4 и 5.
Также добавим, что стандартную 5-и ступенчатую коробку иногда переделывают в 6-и ступенчатую (особенно в паре с тюнингованным форсированным двигателем). Фактически, в КПП интегрируется комплект шестой передачи
Важно понимать, что помимо высокой стоимости такой доработки снижается общая надежность такой коробки
Определение передаточного числа главной передачи.
Передаточное число главной передачи находят исходя из максимальной скорости автомобиля на высшей передаче, заданной техническими условиями на проектируемый автомобиль.
Значение передаточного числа главной передачи определяют по формуле
Ur=3,6(wmaxrk)/VmaxUkUд
где vmax — максимальная скорость автомобиля, км/ч; wmах — максимальная угловая скорость коленчатого вала, рад/с; rk — радиус колеса, м; Uk — передаточное число коробки передач на высшей передаче; ид — передаточное число дополнительной коробки передач на высшей передаче (ид = 1).
Полагают, что передаточные числа коробки передач на высшей передаче имеют следующие значения: ик= 1,0 — для прямой передачи и ик = 0,9…1,0 — для повышающей передачи легковых автомобилей; ик — 1,0 — для грузовых автомобилей с числом передач не более шести; ик = 0,7…0,8 — для многоступенчатых коробок передач грузовых автомобилей.
Найденное расчетным путем передаточное число главной передачи UТ должно иметь следующие значения: не более 5,0 — у легковых автомобилей; не более 7,0 — у грузовых автомобилей грузоподъемностью до 8 т; не более 8,0 — у грузовых автомобилей грузоподъемностью свыше 8 т.
Расчетное значение передаточного числа главной передачи необходимо сравнить с существующими передаточными числами главных передач автомобилей аналогичного типа и назначения. В том случае, если у новой модели автомобиля проектируется ведущий мост, то это значение передаточного числа уточняют с учетом числа зубьев шестерен главной передачи.
Определение передаточного числа первой передачи коробки передач. Определение передаточных чисел промежуточных ступеней коробки передач.
При определении передаточных чисел коробки передач нужно помнить о том, что I передача предназначена для преодоления максимального сопротивления дороги. Промежуточные передачи коробки передач используются при разгоне автомобиля, преодолении повышенного сопротивления движению, работе автомобиля в условиях, не позволяющих двигаться с высокой скоростью (гололед, выбитая дорога, задержка впереди идущим транспортом и т.д.), а также при торможении двигателем на затяжных пологих спусках.
При расчете передаточных чисел сначала находят передаточное число I передачи по заданному техническими условиями максимальному коэффициенту сопротивления дороги ψmах или максимальному динамическому фактору автомобиля по тяге Dmax на I передаче.
Это передаточное число определяют с помощью выражения, полученного из формулы для динамического фактора, пренебрегая силой сопротивления воздуха, так как она незначительна при небольших скоростях движения:
u1=(Gaψmaxrk)/Mmaxηтрuгuд
где Ga — вес автомобиля с полной нагрузкой, Н; Mmax — максимальный крутящий момент двигателя, Н • м.
Полученное передаточное число I передачи коробки передач не гарантирует отсутствия буксования ведущих колес автомобиля. Чтобы не было буксования ведущих колес при движении на I передаче, необходимо выполнение следующего неравенства:
(Mmaxηтрuгuдu1)/ Gark≤Dсц=(mp2Ga2φx)/Ga
где Dсц — динамический фактор автомобиля по сцеплению; тР2 -= 1,20…1,35 — коэффициент изменения реакций на задних ведущих колесах; Ga2 —- вес, приходящийся на задние колеса автомобиля с полной нагрузкой, Н; фх= 0,6…0,8 — коэффициент сцепления колес с дорогой.
Из этого соотношения определяют новое передаточное число I передачи, при котором буксования ведущих колес не будет:
u1=(mp2Ga2φxrk)/ Mmaxηтрuгuд
После проверки передаточного числа I передачи на отсутствие буксования ведущих колес автомобиля из двух найденных передаточных чисел I передачи коробки передач для дальнейших расчетов выбирают меньшее.
По этому значению передаточного числа I передачи и известному значению передаточного числа высшей передачи определяют передаточные числа промежуточных передач.
Если высшая передача прямая (ип = 1), то для расчёта передаточных чисел промежуточных передач используют следующее выражение:
Uk=
где п’ — число передач, не считая повышающую передачу и передачу заднего хода; к — номер передачи.
Если высшая передача повышающая (ик < 1), то значение ее передаточного числа выбирают в соответствии с типом автомобиля, а остальные передаточные числа промежуточных передач рассчитывают с помощью приведенного выше выражения.
Передаточное число передачи заднего хода
Uзк=(1.2…..1,3)u1
Окончательное значение передаточного числа передачи заднего хода определяют при компоновке коробки передач.
Рассчитанные передаточные числа коробки передач являются ориентировочными и при проектировании новой коробки передач могут незначительно изменяться.
Как рассчитать передаточное число
Шестерня и колесо имеют разное количество зубов с одинаковым модулем и пропорциональный размер диаметров. Передаточное число показывает, сколько оборотов совершит ведущая деталь, чтобы провернуть ведомую на полный круг. Зубчатые передачи имеют жесткое соединение. Передающееся количество оборотов в них не меняется. Это негативно сказывается на работе узла в условиях перегрузок и запыленности. Зубец не может проскользнуть, как ремень по шкиву и ломается.
Расчет без учета сопротивления
В расчете передаточного числа шестерен используют количество зубьев на каждой детали или их радиусы.
Где u12 – передаточное число шестерни и колеса;
Z2 и Z1 – соответственно количество зубьев ведомого колеса и ведущей шестерни.
Знак «+» ставится, если направление вращения не меняется. Это относится к планетарным редукторам и зубчатым передачам с нарезкой зубцов по внутреннему диаметру колеса. При наличии паразиток – промежуточных деталей, располагающихся между ведущей шестерней и зубчатым венцом, направление вращения изменяется, как и при наружном соединении. В этих случаях в формуле ставится «–».
При наружном соединении двух деталей посредством расположенной между ними паразитки, передаточное число вычисляется как соотношение количества зубьев колеса и шестерни со знаком «+». Паразитка в расчетах не участвует, только меняет направление, и соответственно знак перед формулой.
Обычно положительным считается направление движения по часовой стрелке. Знак играет большую роль при расчетах многоступенчатых редукторов. Определяется передаточное число каждой передачи отдельно по порядку расположения их в кинематической цепи. Знак сразу показывает направление вращения выходного вала и рабочего узла, без дополнительного составления схем.
Вычисление передаточного числа редуктора с несколькими зацеплениями – многоступенчатого, определяется как произведение передаточных чисел и вычисляется по формуле:
Способ расчета передаточного числа позволяет спроектировать редуктор с заранее заданными выходными значениями количества оборотов и теоретически найти передаточное отношение.
Зубчатое зацепление жесткое. Детали не могут проскальзывать относительно друг друга, как в ременной передаче и менять соотношение количества вращений. Поэтому на выходе обороты не изменяются, не зависят от перегруза. Верным получается расчет скорости угловой и количества оборотов.
КПД зубчатой передачи
Для реального расчета передаточного отношения, следует учитывать дополнительные факторы. Формула действительна для угловой скорости, что касается момента силы и мощности, то они в реальном редукторе значительно меньше. Их величину уменьшает сопротивление передаточных моментов:
- трение соприкасаемых поверхностей;
- изгиб и скручивание деталей под воздействием силы и сопротивление деформации;
- потери на шпонках и шлицах;
- трение в подшипниках.
Для каждого вида соединения, подшипника и узла имеются свои корректирующие коэффициенты. Они включаются в формулу. Конструктора не делают расчеты по изгибу каждой шпонки и подшипника. В справочнике имеются все необходимые коэффициенты. При необходимости их можно рассчитать. Формулы простотой не отличаются. В них используются элементы высшей математики. В основе расчетов способность и свойства хромоникелевых сталей, их пластичность, сопротивление на растяжение, изгиб, излом и другие параметры, включая размеры детали.
Что касается подшипников, то в техническом справочнике, по которому их выбирают, указаны все данные для расчета их рабочего состояния.
При расчете мощности, основным из показателей зубчатых зацепления является пятно контакта, оно указывается в процентах и его размер имеет большое значение. Идеальную форму и касание по всей эвольвенте могут иметь только нарисованные зубья. На практике они изготавливаются с погрешностью в несколько сотых долей мм. Во время работы узла под нагрузкой на эвольвенте появляются пятна в местах воздействия деталей друг на друга. Чем больше площадь на поверхности зуба они занимают, тем лучше передается усилие при вращении.
Все коэффициенты объединяются вместе, и в результате получается значение КПД редуктора. Коэффициент полезного действия выражается в процентах. Он определяется соотношением мощности на входном и выходном валах. Чем больше зацеплений, соединений и подшипников, тем меньше КПД.
Скорость
Двигаться со скоростью черепахи — значит медленно, а со скоростью света — значит очень быстро. Сейчас узнаем, как пишется скорость в математике и как ее найти по формуле.
Скорость определяет путь, который преодолеет объект за единицу времени. Скорость обозначается латинской буквой v.
Проще говоря, скоростью называют расстояние, пройденное телом за единицу времени.
Впервые формулу скорости проходят на математике в 5 классе. Сейчас мы ее сформулируем и покажем, как ее использовать.
Формула скорости
Чтобы найти скорость, нужно разделить путь на время:
Показатели скорости чаще всего выражаются в м/сек; км/час.
Скорость сближения — это расстояние, которое прошли два объекта навстречу друг другу за единицу времени. Чтобы найти скорость сближения, нужно сложить скорости объектов.
Скорость удаления — это расстояние, которое увеличивается за единицу времени между двумя объектами, которые движутся в противоположных направлениях.
Чтобы найти скорость удаления, нужно сложить скорости объектов.
Чтобы найти скорость удаления при движении в одном направлении, нужно из большей скорости вычесть меньшую скорость.
Цепная передача
Хорошо известна цепная передача. Она относится к гибким конструкциям. Передаточное отношение цепной передачи рассчитывается расчёту зубчатых систем. Ведущая и ведомая звёздочка рассматриваются как зубчатые колеса. Значение этого параметра достигает 15.
Особенностью такой конструкции считается требование иметь определённое провисание цепи. Настройка этого параметра проводится с помощью специального регулирующего винта.
Достоинства подобного соединения сводятся к следующему:
- низкая критичность к возможным ошибкам при установке валов.
- передача мощности производится с использованием нескольких звездочек;
- длина передачи вращения может быть достаточно большой.
К недостаткам можно отнести быстрый износ соединительных элементов цепи. Это требует периодической смазки. Вторым недостатком считается высокий уровень шума.

Кроме передаточного числа для них рассчитывается величина статистической разрушающей силы. Этот параметр зависит от требуемого коэффициента безопасности. Его задают в интервале от 6 до 10. Он обеспечивает качественную работу всего механизма, высокую надёжность соединения и долговечность.

























































